1. 矩阵的秩
m 和 n 给出了矩阵的大小,但却不是线性方程组的真正大小。因为,一个 0=0 的方程实际上是不算的。如果 A 中有完全相等的两行,或者第三行是第一行和第二行的线性组合,那么消元过程中就会出现全零的行。线性方程组的真正大小由秩来确定。
矩阵的秩是主元的个数,称为 r。
A=⎣⎡111123222456⎦⎤
矩阵的前两列是 (1, 1, 1)、(1, 2, 3),它们在不同的方向,因此是主列(pivot columns)。第三列是第一列的 2 倍,第四列是前三列的和,因此这两列不会有主元,它们是自由列(free column)。每个自由列都是前面主列的线性组合。从特解中我们也可以看到:
下面我们来进行消元,消元会改变列的元素,但不会改变原有的线性组合。
可以看到, U 中有两个主元,因此 A( U) 的秩为 2。我们继续进行消元得到 R。
这时候,我们可以很容易就得到特解的值,它们就是自由列的值取负号。
秩为 1 的矩阵只有一个主元,每一行都是主行的倍数,每一列也都是主列的倍数。
而且,秩 1 矩阵还可以表示为一个列向量和一个行向量的乘积。
这时候, Ax=0→u(vTx)=0→vTx=0,也就是所有零空间的 x 和行空间的 v 正交。在几何上,零空间是一个平面,行空间是一条直线,也就是这条直线垂直于这个平面。
矩阵的秩是相互独立的行(主行)的个数,也是相互独立的列(主列)的个数。
矩阵的秩是列空间的维数,也是行空间的维数。
主列就是不能由前面列线性组合而产生的列,而自由列是前面列的线性组合,这些线性组合就是特解。
Ax=0 有 r 个主元和 n−r 个自由变量,那么零空间就有 n−r 个相互独立的特解。
我们可以很容易从 Rx=0 得到特解,假设前 r 列是主列,那么 R 就可以表示成这样:
其解就可以表示为:
由分块矩阵可知, RN=[−IF+IF0]=0。
2. Ax=b 的全解
当我们求解 Ax=b 的时候,对左边的矩阵 A 进行消元的时候,我们要同时对右边的 b 进行同样的操作,一个简单的办法就是把 b 作为 A 的一列组成增广矩阵。
进行消元后,我们可以得到
其中最后的全零行是非常重要的,左边矩阵 A 第一行加上第二行等于第三行,右边的 b 也必须满足这种情况方程组才有解。
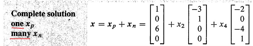
方程的其中一个解就是将自由变量都设置为 0,这时候定解(particular solution)中主变量的值就来自于 b
而方程的全解则由两部分组成,一部分为定解,一部分为 Ax=0 的零空间解。
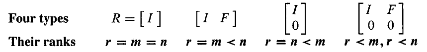
3. 四种可能的情况
假设矩阵 A 的大小为 m×n,矩阵的秩为 r,则方程组的解有如下四种情况:
若 r=m,则意味着列空间为整个 Rm,此时 b 一定位于列空间内,也就是方程组一定有解。若同时还有 r=n,意味着没有自由变量,零空间解只有零向量,方程组有唯一解;若同时还有 r<n,意味着有自由变量,零空间解有无穷个,方程组的也就有无穷解。
若 r<m,则意味着列空间为 Rm 的一部分子空间,此时 b 可能位于列空间内也可能不在列空间内,因此,方程组可能有解也可能无解。若同时还有 r=n,意味着没有自由变量,零空间解只有零向量,方程组有解情况下也只能有唯一解;若同时还有 r<n,意味着有自由变量,零空间解有无穷个,方程组有解情况下也就有无穷解。
获取更多精彩,请关注「seniusen」!
。

京公网安备 11010502036488号