血腥刽子手
血腥刽子手
未归档
背不到的数学黑科技
全部文章
未归档
51nod(2)
c++语法(1)
codeforces(4)
dfs(1)
dp(7)
LCA(2)
WAWAWA(1)
区间dp(3)
可持久化数据结构(2)
字符串(1)
容斥原理(6)
尺取法(1)
数位dp(1)
数据结构(1)
数论(4)
普通筛(1)
最短路(2)
模板(11)
牛客Wannafly(1)
牛客小白月赛(2)
状态压缩dp(2)
莫比乌斯反演(2)
计算几何(1)
贪心(3)
还没有完全理解的题(1)
归档
标签
去牛客网
登录
/
注册
背不到的数学黑科技
661 浏览
0 回复
2018-07-28
血腥刽子手
+关注
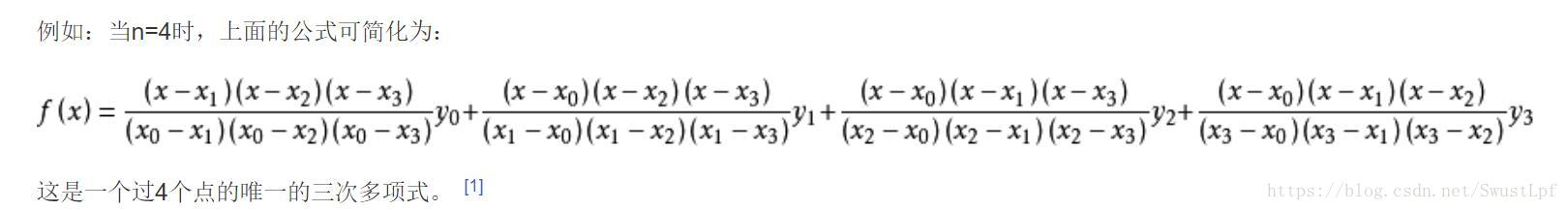
1.拉格朗日插值
2.伯努利数
1.拉格朗日插值
2.伯努利数
伯努利数的递推式:
∑
i
=
0
k
C
i
k
+
1
B
i
=
0
<munderover>
∑
i
=
0
k
</munderover>
C
k
+
1
i
B
i
=
0
每个
B
k
B
k
都用这个算一下,就是
O
(
n
2
)
了
O
(
n
2
)
了
然后计算答案用这个公式:
1
k
+
1
∑
i
=
1
k
+
1
C
i
k
+
1
B
k
+
1
−
i
(
n
+
1
)
i
1
k
+
1
<munderover>
∑
i
=
1
k
+
1
</munderover>
C
k
+
1
i
B
k
+
1
−
i
(
n
+
1
)
i
举报
收藏
赞
评论加载中...